2022.09.14

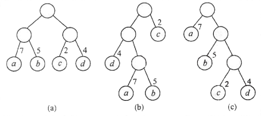
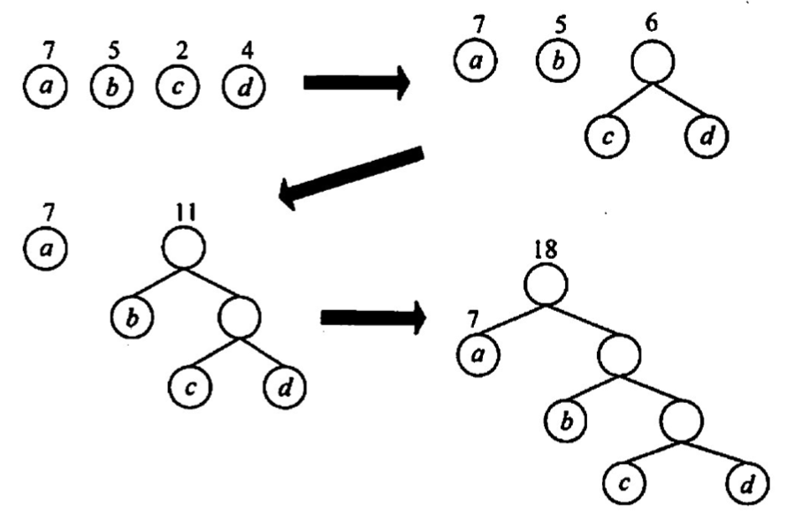
哈夫曼树的构造:

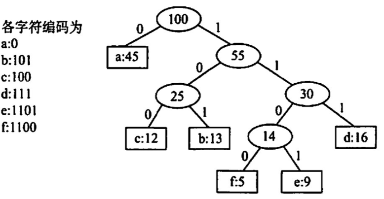
哈夫曼编码:

并查集是一种简单的集合表示,它支持以下3种操作:

经过一段时间的计算,这些子集合合并为 3个更大的子集合S1={8.0.7.8}, S2={1.4.9}, S3={2.3.5}

为了得到两个子集合的并,只需将其中一个子集合根结点的双亲指针指向另一个集合的根结点。

在有n个叶子结点的哈夫曼树中,非叶子结点的总数:
【答案】:n-1
给定整数集合{3,5,6,9,12}与之对应的哈夫曼树是( )

【答案】:C
下列编码中,( )不是前缀码
A.{00,01,10,11} B.{0,1,00,11} C.{0,10,110,111} D.{10,110,1110,1111}
【答案】:B
设哈夫曼编码的长度不超过4,若已对两个字符编码为1和01,則还最多可对()个字符编码。 A.2 B. 3 C. 4 D. 5
【答案】:1,01,0000,0001,0010,0011,C
一棵哈夫曼树共有215个结点,对其进行哈夫曼编码,共能得到( )个不同的码字。 A. 107 B. 108 C. 214 D. 215
【答案】:215-107=108,B
以下对于哈夫曼树的说法中,错误的是( ) A. 对应一组权值构造出来的哈夫曼树一般不是唯一的 B. 哈夫曼树具有最小的带权路径长度 C. 哈夫曼树中没有度为1的结点 D. 哈夫曼树中除了度为1的结点外,还有度为2的结点和叶结点
【答案】:D
若度为m的哈夫曼树中,叶子结点个数为n,则非叶子结点的个数为( ). A. n-1 B.下取整{n/m}-1 C. 上取整{(n-1)/(m-1)} D. 上取整{n/(m-1)}-1
【答案】:D -> C
https://blog.csdn.net/lthahaha/article/details/109269319
度为m的有k个,度为0的有n个
n+k = km+1
k = (n-1)/(m-1)
如果度为0的少一点,需要补充n1+n2 = n
k = (n1+n2-1)/(m-1) = 上取整{(n1 - 1)/(m-1)}
并查集的结构是一种()。 A二叉链表存储的二叉树 B.双亲表示法存储的树 C.顺序存储的二叉树 D.孩子表示法存储的树
【答案】:B
并查集中最核心的两个操作是:①查找,查找两个元素是否属于同一个集合;②合并,如果两个元素不属于同一个集合,且所在的两个集合互不相交,则合并这两个集合。假设初始长度为 10(0-9)的并查集,按1-2、3-4、5-6、7-8、8-9、1-8、0-5、1-9的顺序进行查找和合并操作,最终并查集共有()个集合。 A. 1 B. 2 C. 3 D. 4
【答案】: {1 2} {3 4} {5 6} {7 8}
{3 4} {0 5 6} {1 2 7 8 9} ,C
下列关于并查集的叙述中,( )是错误的(注意,本题涉及图的考点)。 A.并查集是用双亲表示法存储的树 B. 并查集可用于实现克鲁斯卡尔算法 C. 并查集可用于判断无向图的连通性 D.在长度为n的并查集中进行查找操作的时间复杂度为O(log2n)
【答案】:D
【2010 统考真题】n(n≥2)个权值均不相同的宇符构成哈夫曼树,关于该树的叙述中,错误的是( )。 A. 该树一定是一棵完全二叉树 B. 树中一定没有度为1的结点 C. 树中两个权值最小的结点一定是兄弟结点 D. 树中任一非叶结点的权值一定不小于下一层任一结点的权值
【答案】:A
【2014 统考真题】5个字符有如下 4种编码方案,不是前缀编码的是( )。
A. 01,0000,0001,001,1 B. 011,000,001,010,1 C. 000,001,010,011,100 D. 0,100,110,1110,1100
【答案】:D
【2015 统考真题】下列选项给出的是从根分别到达两个叶结点路径上的权值序列,属于同一棵哈夫受树的是( )。 A. 24, 10,5和 24, 10,7 B. 24,10,5 和24, 12, 7 C. 24,10,10 和 24,14, 11 D. 24,10,5和24, 14,6
【答案】:A -> D
【2017 统考真题】已知宇符集{a,b,c,d,e,f,g,h},若各字符的哈夫受编码依次是 0100,10,0000,0101,001,011,11,0001,则编码序列 0100011001001011110101 的译码结果是( ). A. acgabfh B. adbagbb C. afbeasd D. afeefgd
【答案】:[0100] [011] [001] [001] [011] [11] [0101]
a:0100,b:10,c:0000,d:0101,e:001,f:011,g:11,h:0001
afeefgd,D
【2018 统考真题】已知宇符集{a,b,c,d,e,f},若各字符出现的次数分别为6,3,8,2,10,4,则对应宇符集中各字符的哈夫曼编码可能是( )。 A. 00, 1011, 01, 1010, 11, 100 B. 00,100,110.000,0010,01 C. 10, 1011, 11, 0011, 00, 010 D. 0011, 10,11,0010,01,000
【答案】:A
【2019 统考真题】对n个互不相同的符号进行哈夫曼编码。若生成的哈夫量树共有 115个结点,则n的值是()。 A. 56 B. 57 C. 58 D. 60
【答案】:C
【2021 统考真题】若某二叉树有5个叶结点,其权值分别为 10,12,16,21,30,则共最小的带权路径长度(WRL)是( ). A. 89 B. 200 C. 208 D. 289
【答案】:10,12,16,21,30,A -> B

设给定权集w{5,7,2,3,6,8,9},试构造关于w的一棵哈夫曼树,并求其加权路径长度 WPL。

【2012 统考真题】设有5个有序表A,B,C,D,E,F,分别含有10,35,40,50,60和200个数据元素,各表中的元素按升序排列。要求通过5次两两合并,将6个表最终合并为 1个升序表,并使最坏情况下比较的总次数达到最小。请回答下列问题: 1)给出完整的合并过程,并求出最坏情况下比较的总次数。 2)根据你的合并过程,描述n(n≥2)个不等长升序表的合并策略,并说明理由。
【2012年计算机考研408真题详解-哔哩哔哩】 https://b23.tv/6KRCnWC
【答案】:
每次挑选两个最小的有序表进行合并
比较次数 = 830 - 5 = 825!,因为每次比较n和m个元素需要最多比较m+n-1次!!⚠️
各表的合并策略是:对多个有序表进行两两合并时,若表长不同,则最坏情况下总的比较次数依赖于表的合并次序。可以借助于哈夫曼树的构造思想,依次选择最短的两个表进行合并,此时可以获得最坏情况下的最佳合并效率
【2020 统考真题】若任意一个字符的编码都不是共他宇符编码的前级,则称这种编码具有前级特性。现有菜宇符集(宇符个数≥2)的不等长编码,每个宇符的编码均为二进制的0、1序列,最长为L位,且具有前级特性。请回答下列问题: 1)哪种数据结构适宜保存上述具有前级特性的不等长編码? 2)基于你所设计的数据结构,简述从011 串到宇符串的译码过程。 3)简述判定某宇符集的不等长编码是否具有前级特性的过程。
【答案】: